• [BLANK]

Not Named

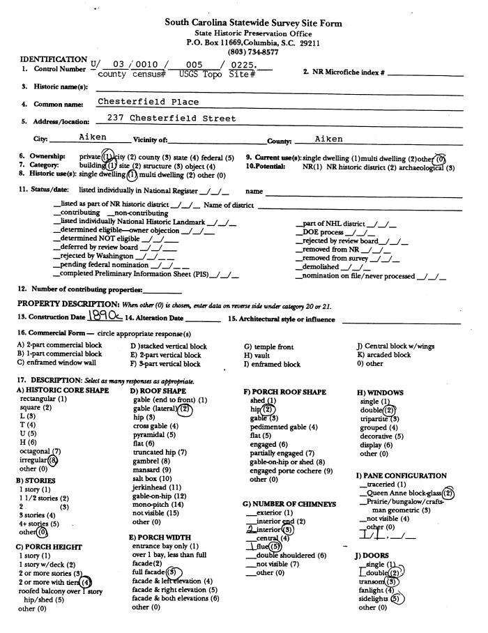
Historic Property
Alternate Name:
Chesterfield Place
Street Address:
237 Chesterfield Street, Aiken, SC (Aiken County)

Site Number:
S108042007400225
Site Number:
225
Construction Date:
circa 1890
Survey:
Aiken - City, 1989
Archives Location:
Box 74, Series 108042, Survey of historic resources (county by county data on surface properties), circa 1971-2014

Related places
Aiken County
Aiken